Ответы
Ответ дал:
0
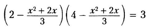
Пусть (x^2+2x)/3 = t, тогда
(2 - t)(4 - t) = 3
8 - 6t + t^2 = 3
t^2 - 6t + 5 = 0
t = 5; t = 1
x^2+2x = 15 | x^2+2x = 3
Не имеет действительных корней | x = 1; x = -3
Ответ: 1; -3
(2 - t)(4 - t) = 3
8 - 6t + t^2 = 3
t^2 - 6t + 5 = 0
t = 5; t = 1
x^2+2x = 15 | x^2+2x = 3
Не имеет действительных корней | x = 1; x = -3
Ответ: 1; -3
Вас заинтересует
3 года назад
3 года назад
7 лет назад
7 лет назад
10 лет назад
10 лет назад
10 лет назад