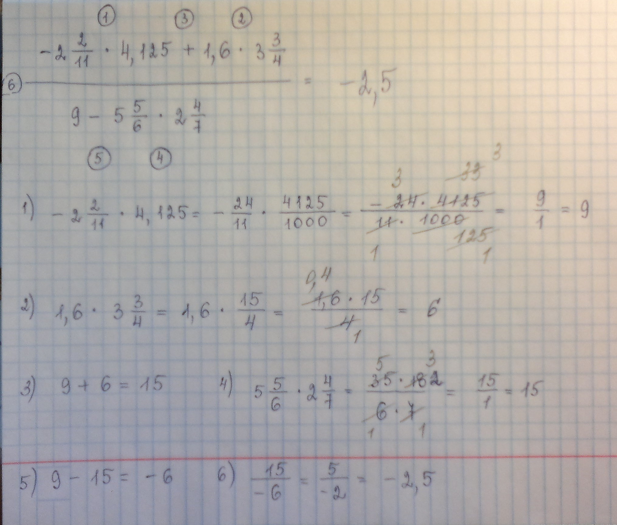
Найдите значение выражения :
-2 2/11 * 4,125 + 1,6 * 3 3/4 
_________________________
9- 5 5/6 * 2 4/7
                        
                            
                            
                    Ответы
                                            Ответ дал: 
                                                                                    
                                        
                                            
                                                
                                                
                                                
                                                    0
                                                
                                            
                                        
                                    
                                        Пишите, если что не так.
                                    
                                                Приложения:
                     
                            Вас заинтересует
                
                        2 года назад
                    
                
                        2 года назад
                    
                
                        9 лет назад
                    
                
                        10 лет назад