• Предмет: Математика
  • Автор: newday1
  • Вопрос задан 9 лет назад

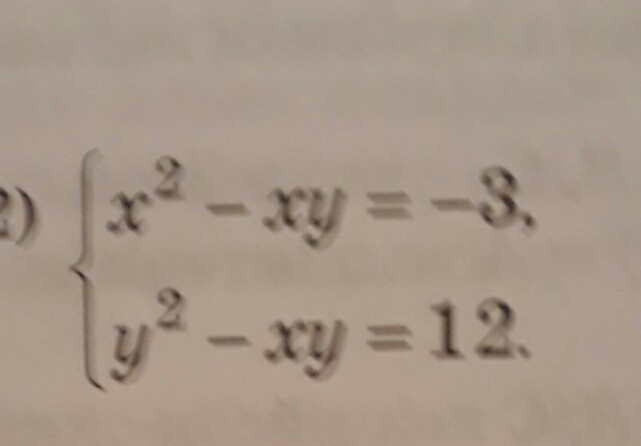
помогите быстро пожалуйста

Приложения:

Ответа на этот вопрос пока нет. Попробуйте найти его через форму поиска.

Вас заинтересует