• Предмет: Алгебра
  • Автор: Drun555
  • Вопрос задан 11 лет назад

Подскажите, как решать)

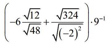
Приложения:

Ответы

Ответ дал: Опыт
0
(-6*2sqrt(3)/4sqrt(3)+18/2)*1/9=(9-3)/9=6/9=2/3...................
Вас заинтересует