Здравствуйте!Помогите,пожалуйста,справиться с заданиями(их два).Нужно доказать тождество.У меня немного не сходится.хотя я вроде как решаю так же,как мы решали в школе.Подскажите мне,пожалуйста!!Заранее спасибочки:*
Приложения:

Ответы
Ответ дал:
0
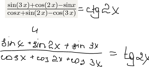
1)Использованы формула суммы
sin3x+cos2x-sinx =2sinx*cos2x+cos2x = cos2x(2sinx+1)
cosx+sin2x-cos3x=2sin2x*sinx+sin2x =sin2x(2sinx+1)
cos2x(2sinx+1)/sin2x(2sinx+1) =ctg2x
2)
sinx+sin2x+sin3x = 2sin2x*cosx +sin2x = sin2x(2cosx+1)
cosx+cos2x+cos3x = 2cos2x*cosx+cos2x = cos2x(cosx+1)
sin2x(2cosx+1)/cos2x(cosx+1)= tg2x
sin3x+cos2x-sinx =2sinx*cos2x+cos2x = cos2x(2sinx+1)
cosx+sin2x-cos3x=2sin2x*sinx+sin2x =sin2x(2sinx+1)
cos2x(2sinx+1)/sin2x(2sinx+1) =ctg2x
2)
sinx+sin2x+sin3x = 2sin2x*cosx +sin2x = sin2x(2cosx+1)
cosx+cos2x+cos3x = 2cos2x*cosx+cos2x = cos2x(cosx+1)
sin2x(2cosx+1)/cos2x(cosx+1)= tg2x
Вас заинтересует
2 года назад
2 года назад
10 лет назад
10 лет назад
10 лет назад