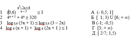
Среди множеств (А - Д) выберите те, которые являются множествами решений неравенств (1 - 4)
Приложения:
Ответы
Ответ дал:
0
httpshttps://ru-static.z-dn.net/files/dca/2b0cefac2f9aba0bd0aaecca87670788.jpg://ru-static.z-dn.net/files/d40/79f45f729e28c033aaa95997c2802c8d.jpg
Приложения:
Вас заинтересует
2 года назад
2 года назад
7 лет назад
7 лет назад
10 лет назад
10 лет назад
10 лет назад
10 лет назад