• Предмет: Математика
  • Автор: markles
  • Вопрос задан 11 лет назад

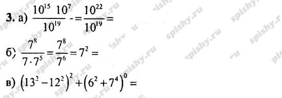
Помогите решить под в)

Приложения:

Ответы

Ответ дал: Санечка69
0
(13^2-12^2)^2+(6^2+7^4)^0=((13-12)(13+12))^2+1(любое, не равное 0 число, в нулевой степени есть 1)=(1*25) ^2+1=25 ^2 2+1=625+1=626
^2 - возведение в квадрат 
Вас заинтересует