Осуществите превращения
(P.S. Из Алюминия получить гидроксид алюминия, Al+_____=Al(OH)3+____)
2 уравнения
помогите,прошу!!!
Приложения:


Ответы
Ответ дал:
0
1/ 2Al + 6H2O --> 2Al(OH)3 + 3H2
2Al(OH)3 -->Al2O3 + 3H2O
Al2O3 + 6HCl --> 2AlCl3 + 3H2O
AlCl3 + 3KNO3 --> 3KCl + Al(NO3)3
Al(NO3)3 + 3KOH --> Al(OH)3 + 3KNO3
2Al + Fe2O3 --> Al2O3 + 2Fe
2Al + 6HCl --> 2ALCL3 + 3H2
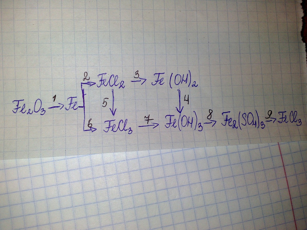
2/ Fe2O3 +3H2 -->2Fe + 3H2O
Fe + Cl2--> FeCl2
FeCl2 + 2NaOH -->Fe(OH)2 + 2NaCl
4Fe(OH)2 + O2 + 2H2O --> 4Fe(OH)3
2FeCl2 +Cl2 --> 2FeCl3
2Fe + 3Cl2 -->2FeCl3
FeCl3 + 3KOH--> Fe(OH)3 + 3KCl
2Fe(OH)3 + 3H2SO4 --> Fe2(SO4)3 + 6 H2O
Fe2(SO4)3 + 3BaCl2 --> 3BaSO4 + 2FeCl3
2Al(OH)3 -->Al2O3 + 3H2O
Al2O3 + 6HCl --> 2AlCl3 + 3H2O
AlCl3 + 3KNO3 --> 3KCl + Al(NO3)3
Al(NO3)3 + 3KOH --> Al(OH)3 + 3KNO3
2Al + Fe2O3 --> Al2O3 + 2Fe
2Al + 6HCl --> 2ALCL3 + 3H2
2/ Fe2O3 +3H2 -->2Fe + 3H2O
Fe + Cl2--> FeCl2
FeCl2 + 2NaOH -->Fe(OH)2 + 2NaCl
4Fe(OH)2 + O2 + 2H2O --> 4Fe(OH)3
2FeCl2 +Cl2 --> 2FeCl3
2Fe + 3Cl2 -->2FeCl3
FeCl3 + 3KOH--> Fe(OH)3 + 3KCl
2Fe(OH)3 + 3H2SO4 --> Fe2(SO4)3 + 6 H2O
Fe2(SO4)3 + 3BaCl2 --> 3BaSO4 + 2FeCl3
Вас заинтересует
2 года назад
8 лет назад
8 лет назад
10 лет назад
10 лет назад