На гладкий горизонтальный стол поставили вертикально гантельку, длиной l, состоящую из невесомого стержня с двумя одинаковыми маленькими шариками на концах. Верхнему шарику ударом сообщают скорость v = 2 м/с в горизонтальном направлении. При какой максимальной длине гантельки нижний шарик сразу оторвется от стола? сопротивлением воздуха пренебречь. Ответ 0,2. Помогите с решением.
Ответы
Ответ дал:
0
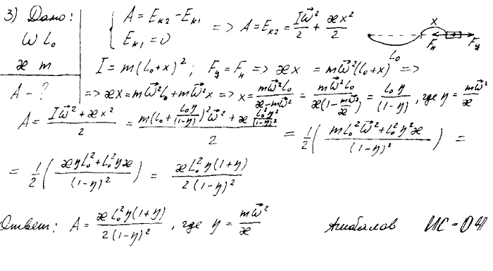
Вот ето тебе поможет ми занимались с учительницей..Удачи
Приложения:

Вас заинтересует
2 года назад
8 лет назад
8 лет назад
10 лет назад
10 лет назад
10 лет назад