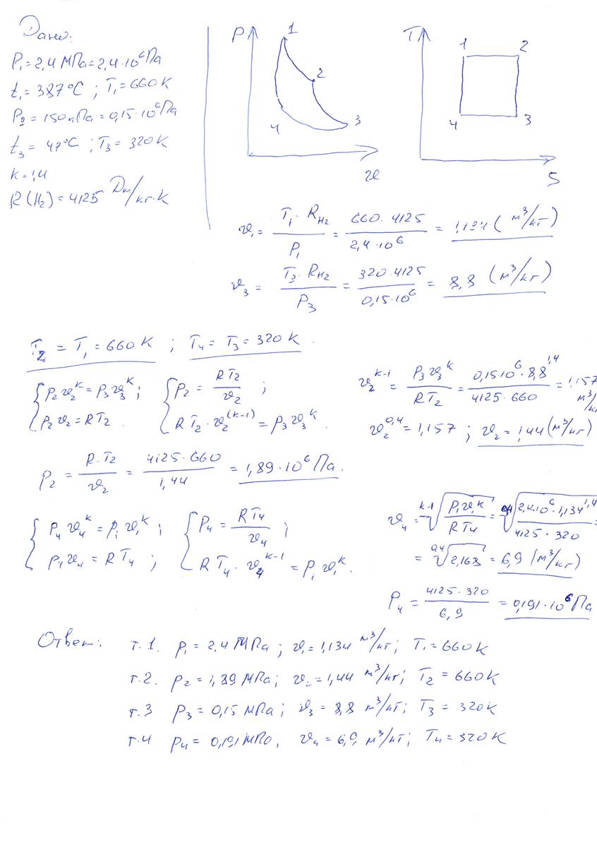
Ребята помогите пожалуйста, очень нужно, ну не как не могу иследовать Цикл Карно.(((
Р(Мпа)-давление начала изотермического расширения=2.4
t1 (ºC)-температура начала изотермического расширения=387
Р3 (кПа)-давление начала изотермического сжатия=150
t3 (ºC)-температура изотермического сжатия=47
Рабочее тело(Идеальный газ)=Н2
К-показатель адиабаты=1.4
Ответы
Ответ дал:
0
не совсем понятно, что значит исследовать (всё зависит от уровня задачника...). поэтому выкладываю определение основных параметров цикла.
Приложения:

Вас заинтересует
2 года назад
2 года назад
10 лет назад