• Предмет: Математика
  • Автор: adrenaline6891
  • Вопрос задан 9 лет назад

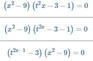
Решить уравнения:(sqrt x-1-3)(x^2-9)=0

Ответы

Ответ дал: olenkina2009
0
Вот! это 10 класс? или 11??
Приложения:
Вас заинтересует