• Предмет: Алгебра
  • Автор: inhtein
  • Вопрос задан 11 лет назад

Алгебра 7 класс для вас должно быть лёгким 

Приложения:

Ответы

Ответ дал: Artem112
0
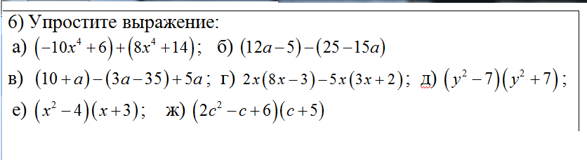
(-10x^4+6)+(8x^4+14)=-10x^4+6+8x^4+14=20-2x^4
(12a-5)-(25-15a)=12a-5-25+15a=27a-30
(10+a)-(3a-35)+5a=10+a-3a+35+5a=3a+45
2x(8x-3)-5x(3x+2)=16x^2-6x-15x^2-10x=x^2-16x
(y^2-7)(y^2+7)=(y^2)^2-7^2=y^4-49
(x^2-4)(x+3)=x^3+3x^2-4x-12
(2c^2-c+6)(c+5)=2c^3+10c^2-c^2-5c+6c+30=2c^3+9c^2+c+30
Ответ дал: inhtein
0
спс
Вас заинтересует