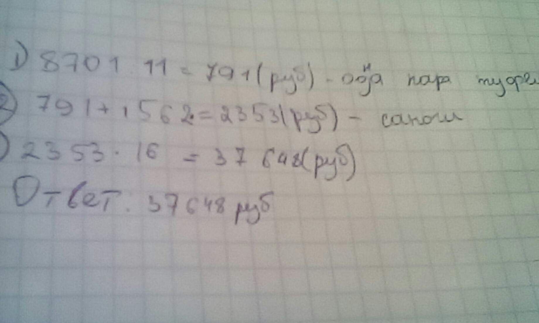
11 пар(-ы) туфель стоят в магазине 8701 рублей. Сколько нужно заплатить за 16 пар(-ы) сапог, если стоимость пары сапог на 1562 рублей дороже, чем пары туфель?
Ответы
Ответ дал:
0
решение на листе бумаги
Приложения:
Вас заинтересует
2 года назад
2 года назад
7 лет назад
7 лет назад
10 лет назад
10 лет назад
10 лет назад