• Предмет: Алгебра
  • Автор: verazhovta2015
  • Вопрос задан 9 лет назад

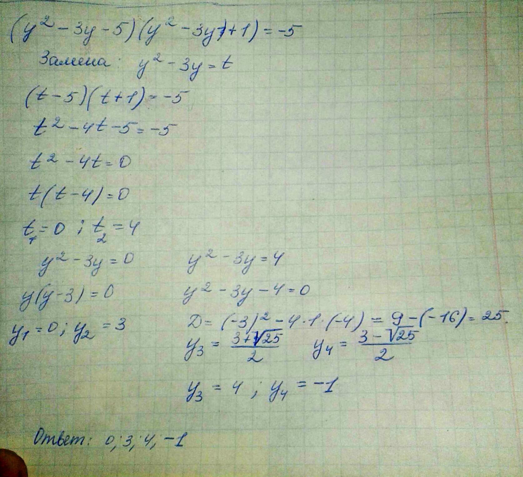
(y (квадрате) 2-3y-5)(y(квадрате)2-3y+1)=-5

Ответы

Ответ дал: koingrel
0
Решение во вложении :)
Приложения:
Вас заинтересует