• Предмет: Математика
  • Автор: mrzemelev
  • Вопрос задан 9 лет назад

Решите удобным способом, умоляю!
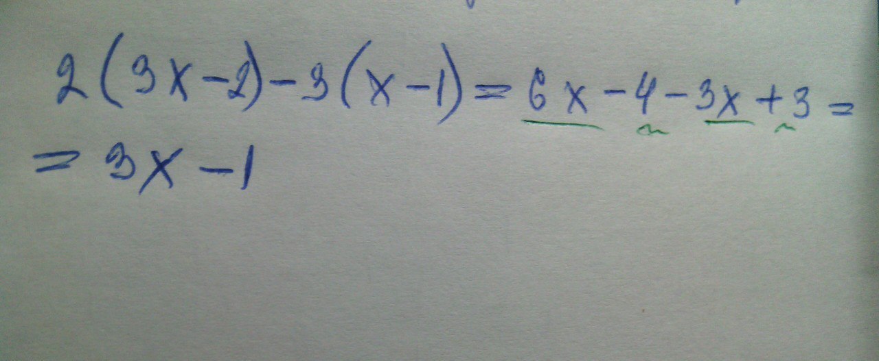
2(3x-2)-3(x-1)=

Ответы

Ответ дал: Wolf2446
0
ответ в прикрепленном файле
Приложения:
Вас заинтересует