Ответы
Ответ дал:
0
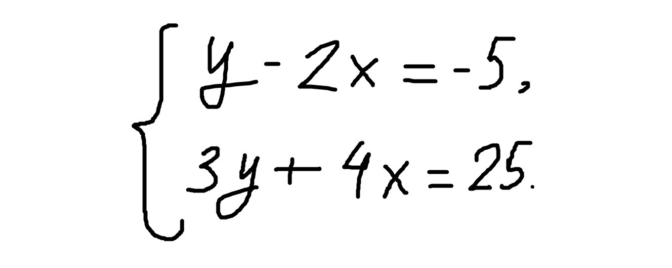
|y-2x=-5
|3y+4x=25
|y=2x-5
|3(2x-5)+4x=25
3(2x-5)+4x=25
6x+4x-15=25
10x=40
x=4
|x=4
|y=3
|3y+4x=25
|y=2x-5
|3(2x-5)+4x=25
3(2x-5)+4x=25
6x+4x-15=25
10x=40
x=4
|x=4
|y=3
Вас заинтересует
2 года назад
7 лет назад
7 лет назад
10 лет назад
10 лет назад
10 лет назад
10 лет назад