Ответы
Ответ дал:
0
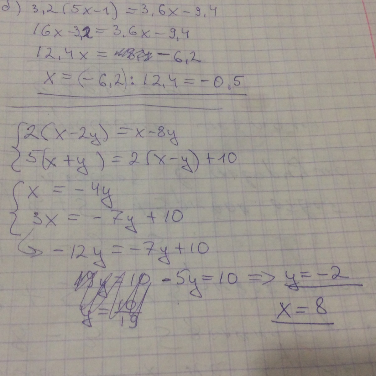
1) {2х–4у=х–8у
{5х+5у=2х–2у+10
{х=–4у
{3(–4у)+7у=10
–5у=10
у=–2
х=–4•(–2)=8
Ответ: (8;–2)
2) {3х+12у–4х=4х+2у
{7х–35у+6х=3х+12у+27
{–5х+10у=0 |•2
{10х–47у=27
{–10х+20у=0
{10х–47у=27
–27у=27
у=–1
–5х+10•(-1)=0
–5х=10
х=–2
Ответ: (–2;–1)
3) {15+2х+6у=12х+3у
{10х–2у–3у=2+6х–3у
{–10х+3у=–15 |•2
{4х–2у=2 |•3
{–20х+6у=–30
{12х–6у=6
–8х=–24
х=3
4•3–2у=2
–2у=–10
у=5
Ответ: (3;5)
4) {35х+10у–11у=12х+6у+2
{33+18х–15у=3х+6у–5у
{23х–7у=2|•(-16)
{15х–16у=–33 |•7
{–368х+112у=–32
{105х–112у=–231
–263х=–263
х=1
23•1–7у=2
–7у=–21
у=3
Ответ: (1;3)
{5х+5у=2х–2у+10
{х=–4у
{3(–4у)+7у=10
–5у=10
у=–2
х=–4•(–2)=8
Ответ: (8;–2)
2) {3х+12у–4х=4х+2у
{7х–35у+6х=3х+12у+27
{–5х+10у=0 |•2
{10х–47у=27
{–10х+20у=0
{10х–47у=27
–27у=27
у=–1
–5х+10•(-1)=0
–5х=10
х=–2
Ответ: (–2;–1)
3) {15+2х+6у=12х+3у
{10х–2у–3у=2+6х–3у
{–10х+3у=–15 |•2
{4х–2у=2 |•3
{–20х+6у=–30
{12х–6у=6
–8х=–24
х=3
4•3–2у=2
–2у=–10
у=5
Ответ: (3;5)
4) {35х+10у–11у=12х+6у+2
{33+18х–15у=3х+6у–5у
{23х–7у=2|•(-16)
{15х–16у=–33 |•7
{–368х+112у=–32
{105х–112у=–231
–263х=–263
х=1
23•1–7у=2
–7у=–21
у=3
Ответ: (1;3)
Ответ дал:
0
Ответ на первое уравнение
Приложения:

Вас заинтересует
2 года назад
10 лет назад
10 лет назад