• Предмет: Алгебра
  • Автор: chami
  • Вопрос задан 9 лет назад

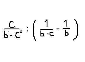
Упростите выражение:

Приложения:

Ответы

Ответ дал: Аноним
0
С/(b-c)(b+c)*b(b-c)/b-b+c=b/b+c
Вас заинтересует