• Предмет: Математика
  • Автор: lenevaos
  • Вопрос задан 9 лет назад

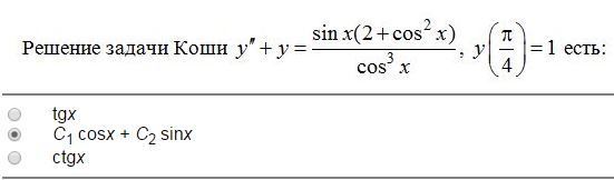
Помогите решить задачу Коши! Очень срочно!

Приложения:

Ответы

Ответ дал: HSS9860
0
При решении этого неоднородного ДУ в общем случае будут мнимые корни, то есть y=C₁sinx+C₂cosx, а при решении чаcтного неоднородного будет, что y=2tgx-2tgx
Итоговое решение будет как y=C₁sinx+C₂cosx
Вас заинтересует