40 баллов даю.
Помогите пожалуйста.
Спасибо за Ваш ответ.
Сделаю Ваш ответ лучшим после проверки учителем.
1. Объект приближается к Земле со скоростью 0,8с. Излучение от объекта на Земле наблюдается с частотой 6*1014 Гц. Чему равна собственная частота излучения объекта?
2. Кинетическая энергия электрона 10 МэВ. Во сколько раз его релятивистская масса больше массы покоя (9,1*10-31 кг)?
Ответы
Ответ дал:
0
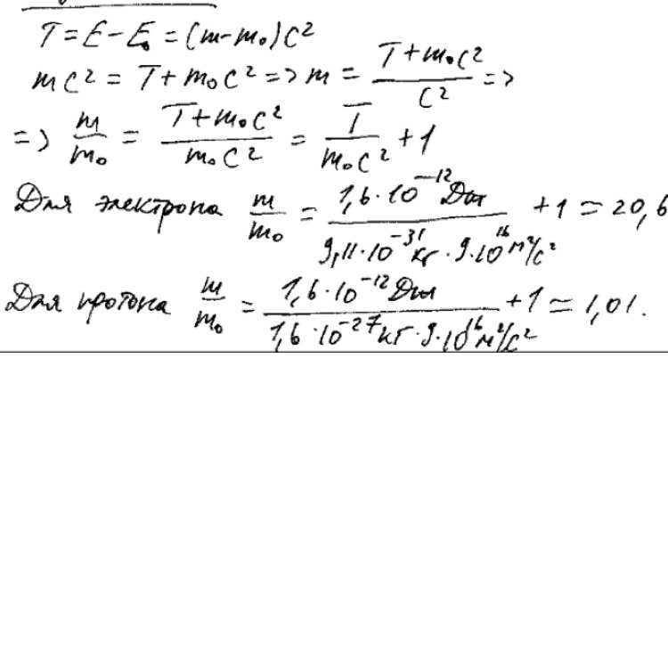
2)Смогла только вторую решить.
Приложения:
Ответ дал:
0
Большое спасибо. А первое решить не сможете?
Ответ дал:
0
Что-то Ваш ответ не совпадает с тем, что дал еще один ответчик.
Ответ дал:
0
1) v=6*10^14 Гц V=0,8*c v0-?
v=((c+V)/c)*v0 (c+V)/c=(c+0,8*c)/c=1,8
v0=v/1,8=6*10^14/1,8=3,33*10^14 Гц
2) Полная энергия электрона m*c^2=m0*c^2+Ek
m/m0=1+Ek/m0c^2 Энергия покоя электрона 0,511 Мэв
m/m0=1+10 /0,511=20,57 Мэв
v=((c+V)/c)*v0 (c+V)/c=(c+0,8*c)/c=1,8
v0=v/1,8=6*10^14/1,8=3,33*10^14 Гц
2) Полная энергия электрона m*c^2=m0*c^2+Ek
m/m0=1+Ek/m0c^2 Энергия покоя электрона 0,511 Мэв
m/m0=1+10 /0,511=20,57 Мэв
Приложения:
Вас заинтересует
2 года назад
2 года назад
7 лет назад
10 лет назад
10 лет назад
10 лет назад
10 лет назад