• Предмет: Математика
  • Автор: helenmalmala38
  • Вопрос задан 9 лет назад

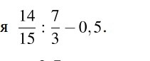
объясните подробно очень) пожааалуйстааа . 6 класс

Приложения:

Ответа на этот вопрос пока нет. Попробуйте найти его через форму поиска.

Вас заинтересует