Ответы
Ответ дал:
0
Решение Вашего задания во вложении(2фото),выберите лучшее изображение
Приложения:
Ответ дал:
0
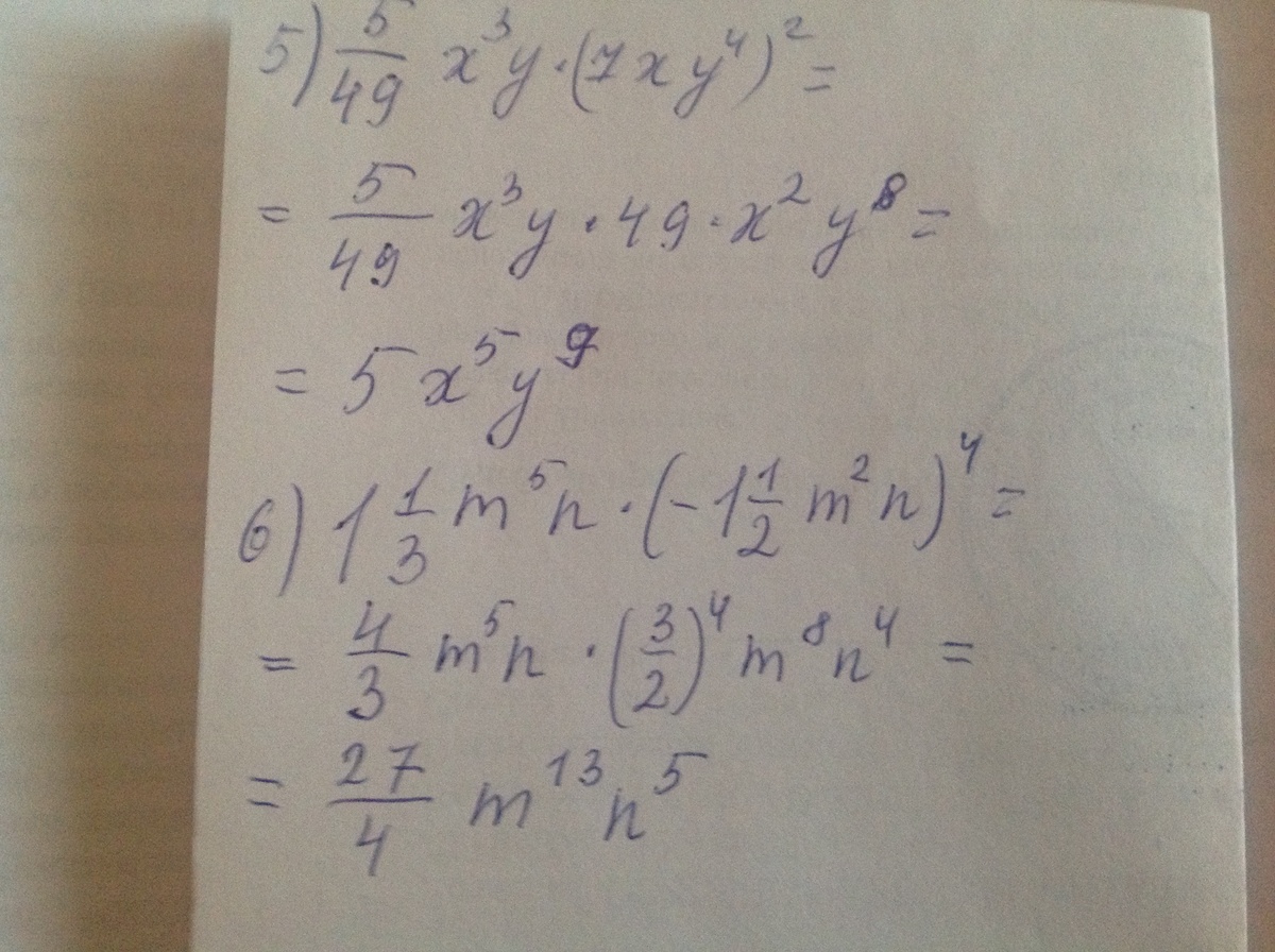
5) (5*x^3*y)/49 * 49*x^2*y^8= (5*x^3*y*49*x^2*y^8)/49 = 5*x^5*y^9
6) 4/3 *m^5*n * (-3/2 *m^2*n)= (4*m^5*n*81*m^8*n^4)/(3*16)= (27*m^13*n^5)/4
6) 4/3 *m^5*n * (-3/2 *m^2*n)= (4*m^5*n*81*m^8*n^4)/(3*16)= (27*m^13*n^5)/4
Приложения:
Вас заинтересует
3 года назад
8 лет назад
8 лет назад
11 лет назад
11 лет назад
11 лет назад
11 лет назад