• Предмет: Алгебра
  • Автор: almaz001
  • Вопрос задан 11 лет назад

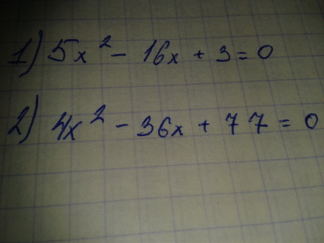
решите уравнение. 5x2-16x+3=o

Приложения:

Ответы

Ответ дал: Qaz123456
0
Формула дискриминанта: .
D=16*16-4*3*5=196
В общем случае корни уравнения равны:                  .

x=(16+
14)/10=3
x2=(16-14)/10=0.2



Ответ дал: Qaz123456
0
решение второго:
Ответ дал: Qaz123456
0
D jnhbwfntkmyst/ gj'njve lfyyjt ehfdytybt yt bvttn rjhytq
Ответ дал: Qaz123456
0
D отрицательный. поэтому уравнение не имеет решений
Вас заинтересует