• Предмет: Алгебра
  • Автор: NadiaFetisova
  • Вопрос задан 9 лет назад

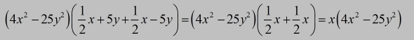
Упростите выражение (4x^2-25y^2)(1/2x+5y + 1/2x-5y). Ответ знаю (4x). Надо решение

Ответы

Ответ дал: vanoles
0
Если не так, знач условие по-другому записано
Приложения:
Вас заинтересует