• Предмет: Алгебра
  • Автор: silan56
  • Вопрос задан 9 лет назад

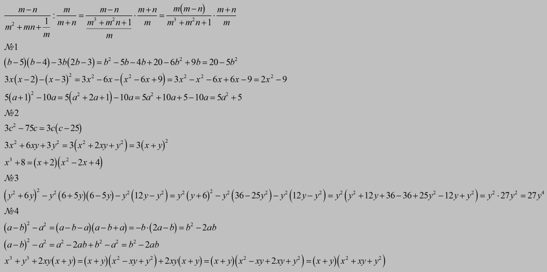
Помогите пожалуйста решить ))))

Приложения:

Ответы

Ответ дал: vanoles
0
!!!!!!!!!!!!!!!!!!!!!!!!!!!!!!!!!!!!!!!
Приложения:
Вас заинтересует