Ответы
Ответ дал:
0
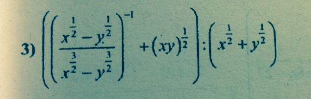
1) ((x^(1/2)-y^(1/2))/(x^(3/2)-y^(3/2)))^(-1) = (x^(3/2)-y^(3/2))/(x^(1/2)-y^(1/2)) = (x^(1/2)-y^(1/2)*(x+(xy)^(1/2)+y)/(x^(1/2)-y^(1/2))=x+(xy)^(1/2)+y
2) x+(xy)^(1/2) + y + (xy)^(1/2) = x+2(xy)^(1/2) + y = (x^(1/2)+y^(1/2))^2
3) (x^(1/2)+y^(1/2))^2/(x^(1/2)+y^(1/2))=x^(1/2)+y^(1/2)
2) x+(xy)^(1/2) + y + (xy)^(1/2) = x+2(xy)^(1/2) + y = (x^(1/2)+y^(1/2))^2
3) (x^(1/2)+y^(1/2))^2/(x^(1/2)+y^(1/2))=x^(1/2)+y^(1/2)
Вас заинтересует
8 лет назад
8 лет назад
11 лет назад
11 лет назад
11 лет назад