Сумма катетов прямоугольного треугольника равна 15 см. Каковы должны быть их длины, чтобы гипотенуза треугольника была наибольшей? С решением, пожалуйста
Ответы
Ответ дал:
0
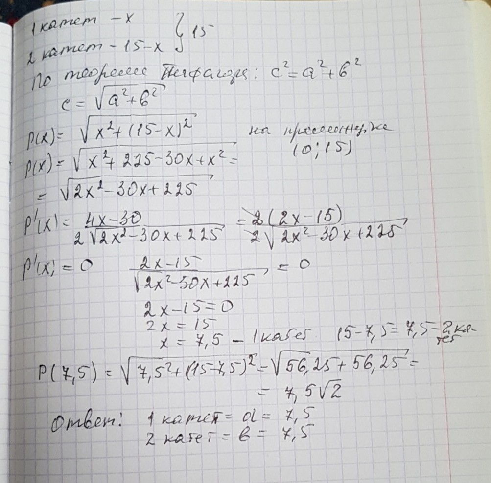
решение задания смотри на фотографии
Приложения:

Ответ дал:
0
спасибо за оценку
Ответ дал:
0
конечно,если будет возможность обязательно помогу.
Вас заинтересует
2 года назад
2 года назад
7 лет назад
7 лет назад
9 лет назад
9 лет назад
10 лет назад