• Предмет: Алгебра
  • Автор: TheReusGP
  • Вопрос задан 9 лет назад

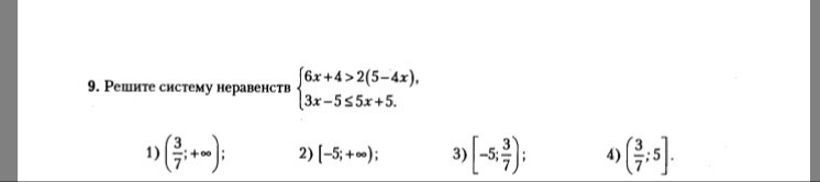
Решите систему неравенств
Можно пожалуйста решение!!!

Приложения:

Ответы

Ответ дал: Pacanka202
0
{6х+4>10–8х
{3х–5<=5х+5
{14х>6
{–2х<=10
{х>3/7
{х>=–5
Ответ: 1) (3/7;+бескон)
Вас заинтересует