Ответы
Ответ дал:
0
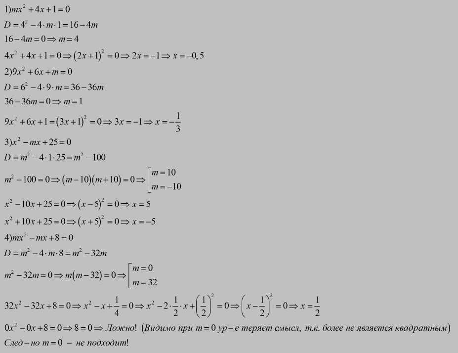
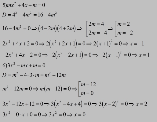
Уравнение обладает одним корнем в случае, когда дискриминант равен нулю!
Приложения:


Вас заинтересует
2 года назад
2 года назад
7 лет назад
10 лет назад