• Предмет: Алгебра
  • Автор: Аноним
  • Вопрос задан 11 лет назад

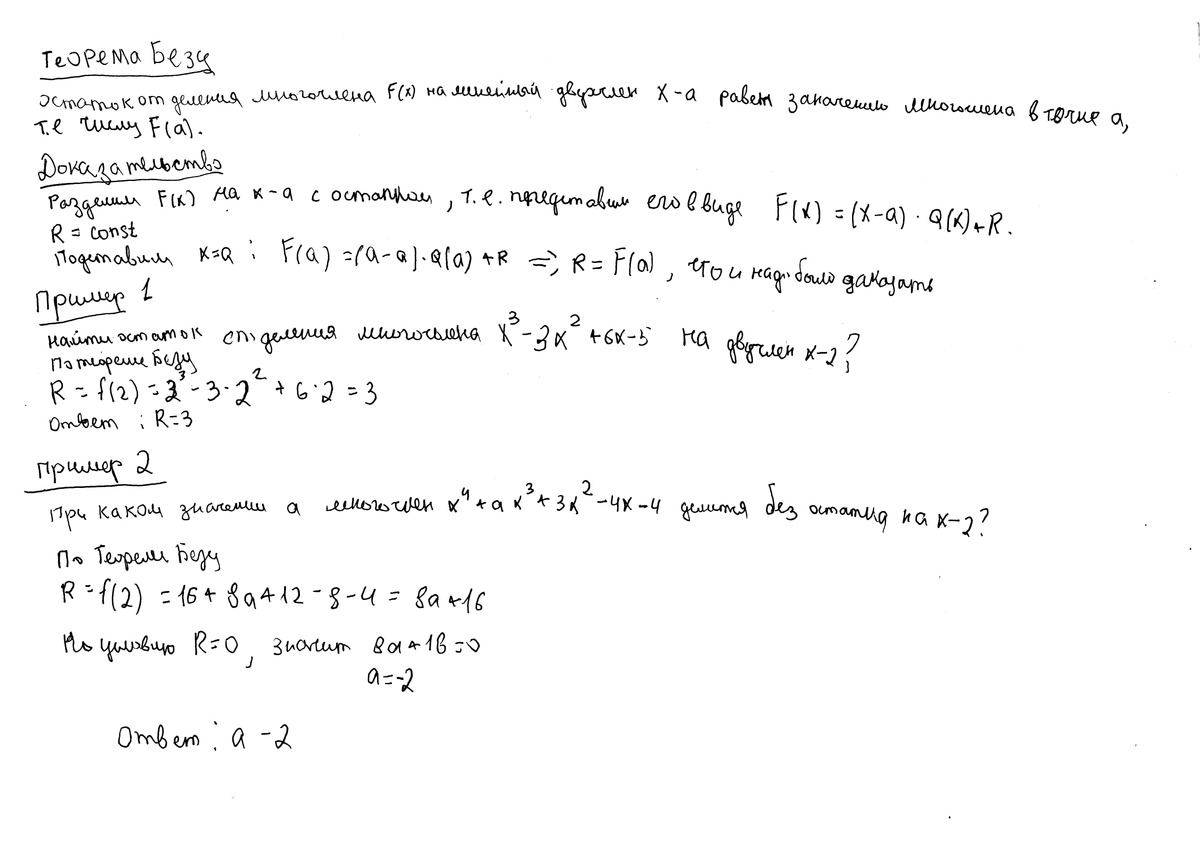
Объяснить подробно, а главное понятно, теорему Безу. Желательно на примерах.

Ответы

Ответ дал: nikitaaz
0
================================================
Приложения:
Ответ дал: Аноним
0
А можно печатный вариант?
Ответ дал: nikitaaz
0
Я не знаю как печатный вариант сделать.
Ответ дал: Аноним
0
Напечатать...
Ответ дал: Аноним
0
Ну и зачем, нужно было, переворачивать, всё равно почерк, не разобрать...
Вас заинтересует