• Предмет: Математика
  • Автор: ANYUTA7777
  • Вопрос задан 11 лет назад

Задача по теории вероятности. 

Решить задачу, пользуясь формулами вычисления вероятности для случайной величины, распределенной по нормальному закону.

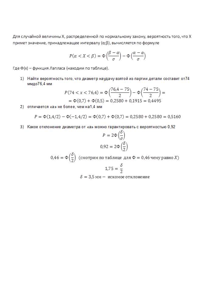
        Диаметр детали – нормально распределенная случайная величина с параметрами: а  =75мм, σ  = 2мм. Найти вероятность того, что диаметр наудачу взятой из партии детали составит от74 ммдо76,4 мм; отличается «а» не более, чем на1,4 мм. Какое отклонение диаметра от «а» можно гарантировать с вероятностью 0,92? Помогите, люди добрые)

Ответы

Ответ дал: resident77
0
Смотрите вложенный файл
Приложения:
Вас заинтересует