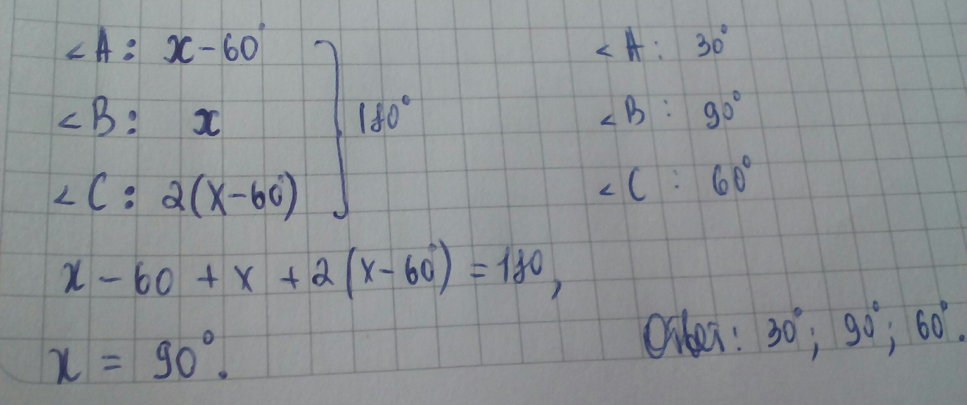
Найдите углы треугольника ABC , если угол А на 60 градусов меньше угла B и в 2 раза меньше угла C
Ответы
Ответ дал:
0
Решение в приложении.
Ответ: 30°, 90°, 60°.
Ответ: 30°, 90°, 60°.
Приложения:
Вас заинтересует
2 года назад
7 лет назад
10 лет назад
10 лет назад
10 лет назад