• Предмет: Физика
  • Автор: fefelee
  • Вопрос задан 9 лет назад

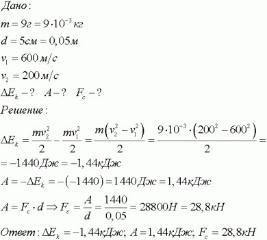
пуля массой 9 Грамм пробивает доску толщиной 5 см при этом его скорость убывает 600 метров секунду до 200 метров секунду Найдите изменение кинетической энергии и работу а также значения силы сопротивления, считая ее постоянной величиной.

Ответы

Ответ дал: kempel55627
0
Решение в изображении.
Приложения:
Вас заинтересует