Ответы
Ответ дал:
0
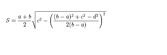
по формуле где a=2; b=4 ; c=3 ; d=2
подставим
S=3*√9-(9/4)^2 = 9√7/4
Можно конечно так
Опустим высоты на большее основания , пусть отрезки которые делит высоты равны x, y .
CH=3^2-x^2
CH1=2^2-y^2
CH=CH1
x+y=2
{9-x^2=4-y^2
{x+y=2
решим систему получим
x=9/4 , тогда высота равна h=√9-81/19 = 3 √7/4
S=(4+2)/2 * 3√7/4 = 9 √7/4
подставим
S=3*√9-(9/4)^2 = 9√7/4
Можно конечно так
Опустим высоты на большее основания , пусть отрезки которые делит высоты равны x, y .
CH=3^2-x^2
CH1=2^2-y^2
CH=CH1
x+y=2
{9-x^2=4-y^2
{x+y=2
решим систему получим
x=9/4 , тогда высота равна h=√9-81/19 = 3 √7/4
S=(4+2)/2 * 3√7/4 = 9 √7/4
Приложения:
Вас заинтересует
3 года назад
3 года назад
8 лет назад
11 лет назад
11 лет назад
11 лет назад