• Предмет: Алгебра
  • Автор: yugolovin
  • Вопрос задан 9 лет назад

Решить уравнение

3+sqrt{35x^2+12x+1}+sqrt{35x^2+27x+4}=

=sqrt{35x^2+33x+4}+sqrt{35x^2+48x+16}

Ответы

Ответ дал: nelle987
0
3+sqrt{35x^2+12x+1}+sqrt{35x^2+27x+4}=\=sqrt{35x^2+33x+4}+sqrt{35x^2+48x+16}\ 3+sqrt{35x^2+12x+1}-sqrt{35x^2+48x+16}=\=sqrt{35x^2+33x+4}-sqrt{35x^2+27x+4}

Возводим в квадрат, сразу частично приведя подобные. Произведения двух корней в левой и правой части равны, сумма квадратов слагаемых слева на 9 + 1 + 16 - 4 - 4 = 18 больше, чем справа:
18+6sqrt{35x^2+12x+1}-6sqrt{35x^2+48x+16}=0\
sqrt{35x^2+48x+16}=sqrt{35x^2+12x+1}+3

Подставляем получившееся в исходное уравнение, и там остаётся только:
sqrt{35x^2+27x+4}=sqrt{35x^2+33x+4}\
35x^2+27x+4=35x^2+33x+4\
x=0

Единственный кандидат на то, чтобы быть корнем, это x = 0. Подстановка x = 0 в уравнение приводит к верному равенству, значит, x = 0 - корень.

Ответ. x = 0.


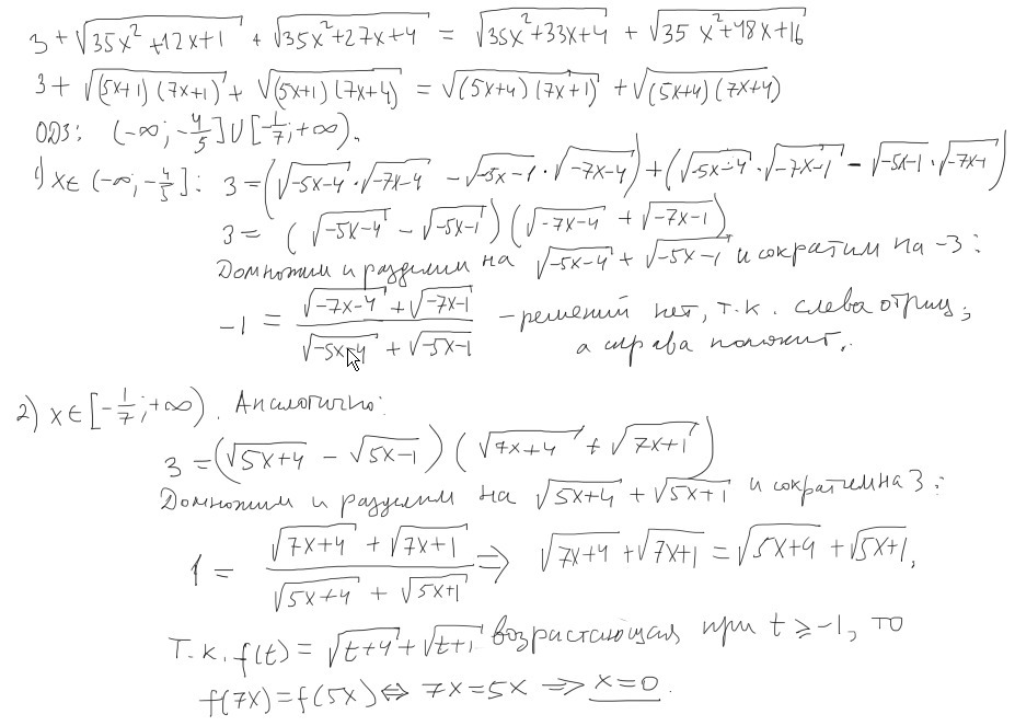
Ответ дал: Denik777
0
Решение прицеплено в картинке
Приложения:
Вас заинтересует