• Предмет: Алгебра
  • Автор: dar290
  • Вопрос задан 9 лет назад

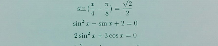
срочно нужна помощь)))

Приложения:

Ответы

Ответ дал: kseniya164
0
не совсем уверена в 3
Приложения:
Вас заинтересует