• Предмет: Математика
  • Автор: Chelove4ek007
  • Вопрос задан 11 лет назад

Помогите , пожалуйста!

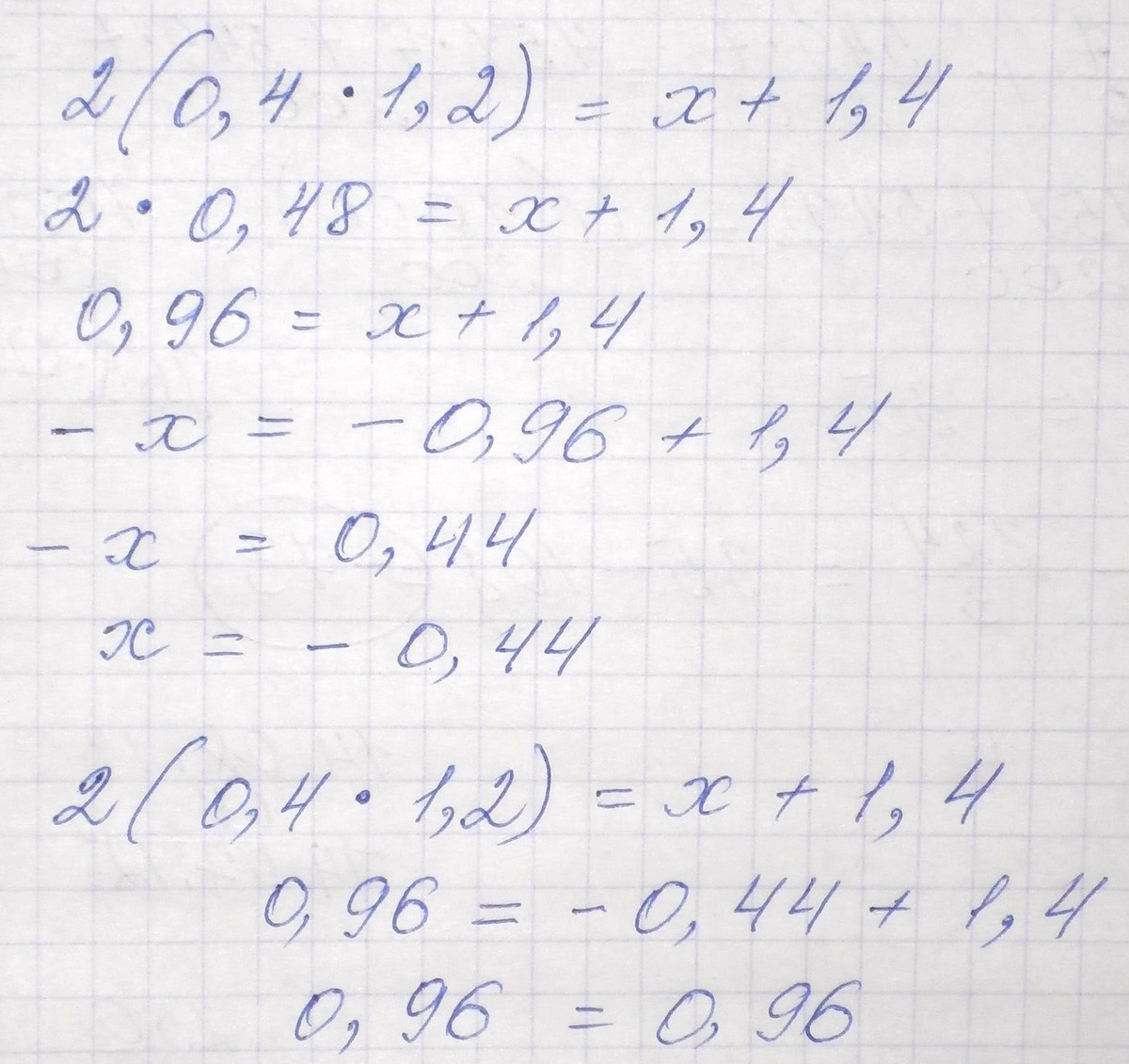
2(0,4х1,2)=х+1,4

Заранее СПАСИБО!!!

Ответы

Ответ дал: ПростоЛёка
0
Решение во вложении)))))))))))))))))
Приложения:
Ответ дал: Chelove4ek007
0
Спасибо огромное!
Вас заинтересует