• Предмет: Физика
  • Автор: reygenn
  • Вопрос задан 9 лет назад

Можно пожалуйста, подробно и с объяснением, что, как, почему и откуда взялось.
Заранее спасибо.

Приложения:

Ответы

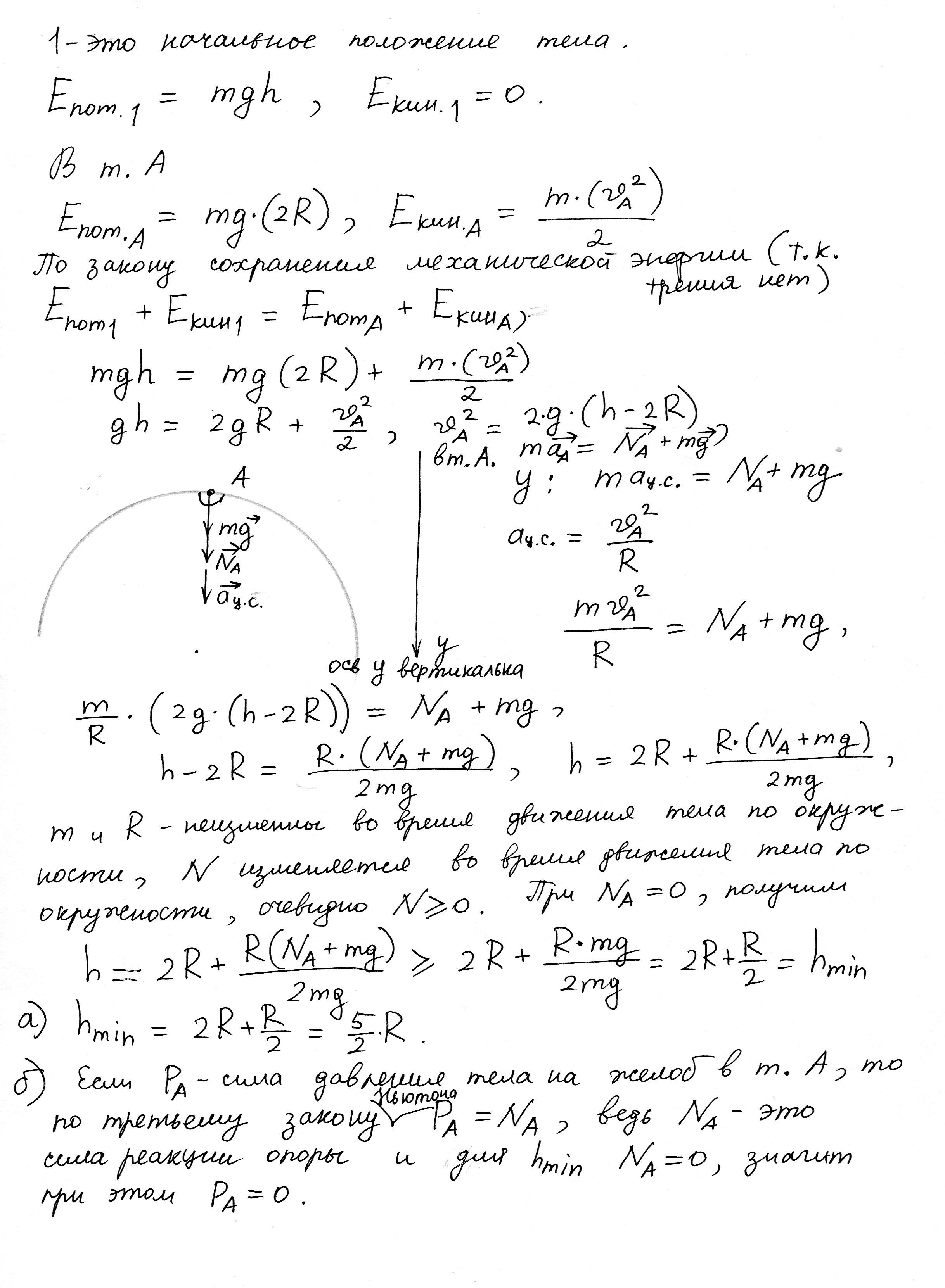
Ответ дал: Аноним
0
Я решил на листочке.
Приложения:
Вас заинтересует