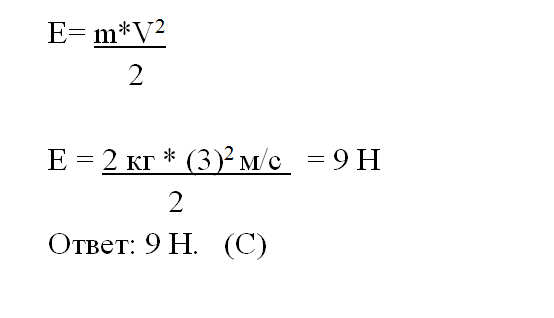
Чему равна кинетическая энергия тела массой 2 кг, движущегося со скоростью 3 м/с?
А) 3 Дж
В) 6 Дж
С) 9 ДЖ
Д) 18 Дж
Е) 12 Дж
Ответы
Ответ дал:
0
....................................................
Приложения:

Ответ дал:
0
Ответ С Екравно масса *скрость в 2 и делить на два!
Приложения:

Вас заинтересует
2 года назад
8 лет назад
8 лет назад
10 лет назад