• Предмет: Алгебра
  • Автор: armizonovn
  • Вопрос задан 9 лет назад

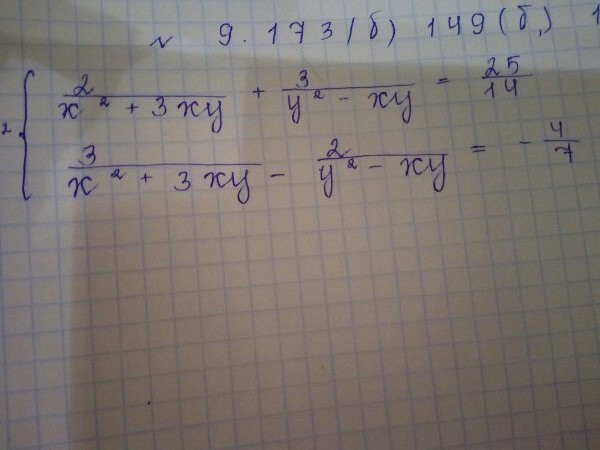
Помогите, пожалуйста

Приложения:

Ответы

Ответ дал: Аноним
0
I hope this helps you
Приложения:
Ответ дал: Аноним
0
yes you're right thnx:)
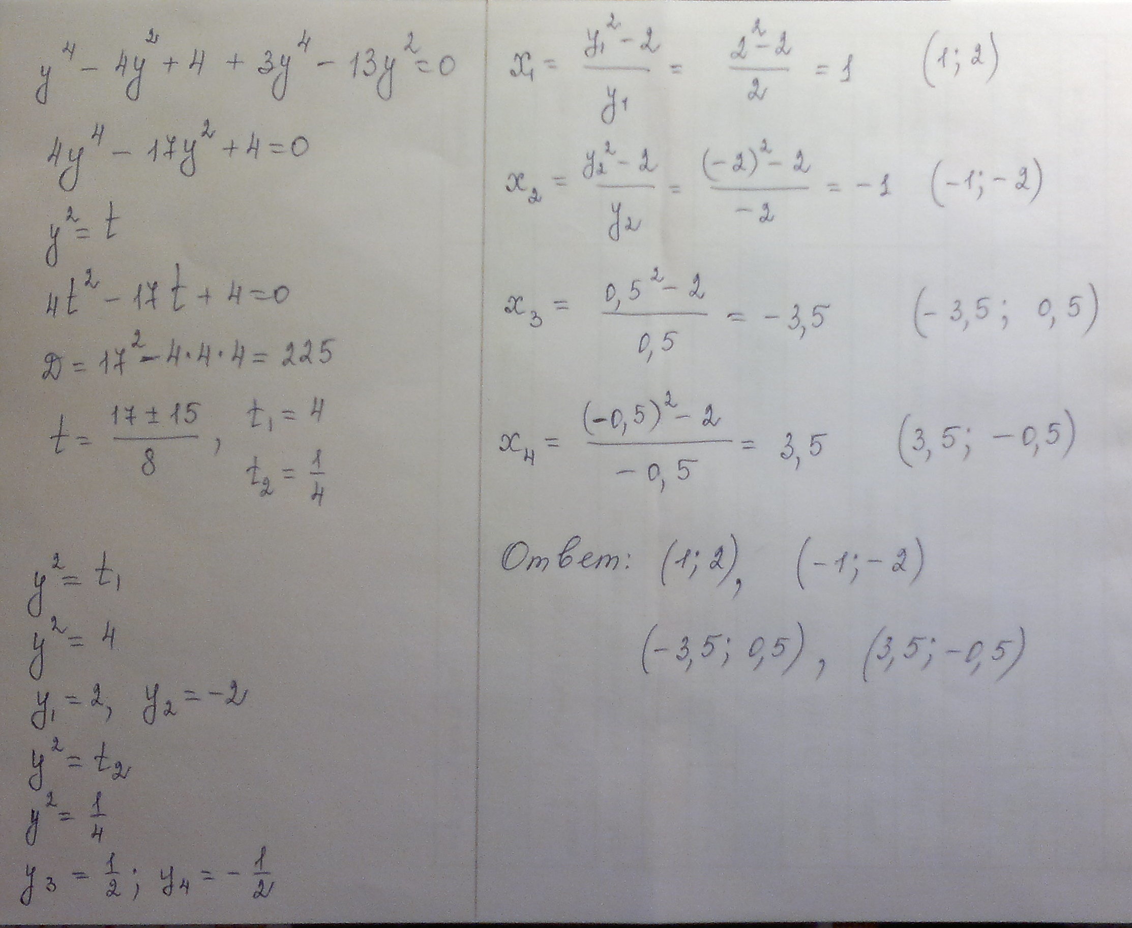
Ответ дал: ytekjdbvsq
0
Пишите, если что не так.
Приложения:
Вас заинтересует