• Предмет: Алгебра
  • Автор: Littlesun
  • Вопрос задан 9 лет назад

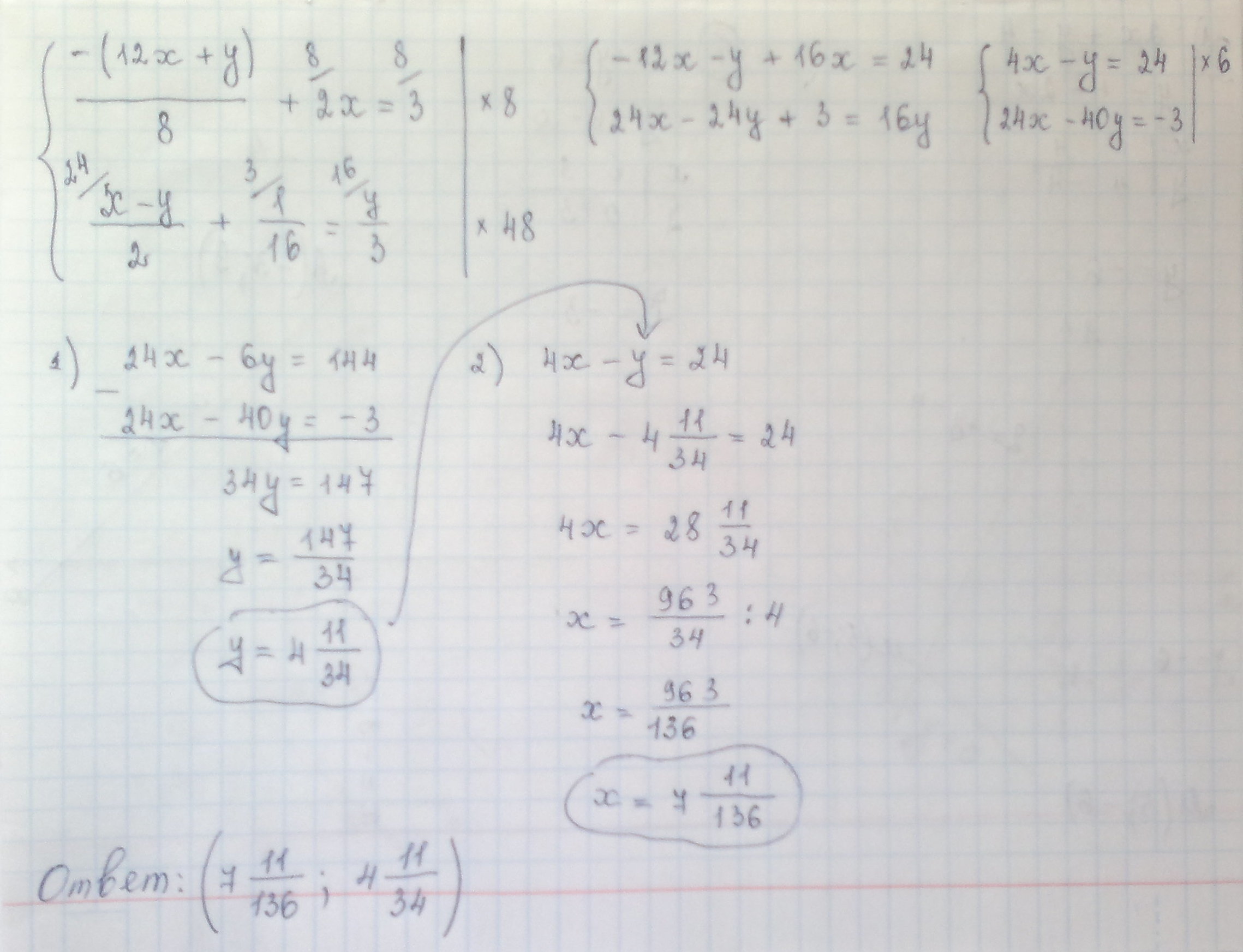
Решите систему уравнений {-(12x+y)/8 + 2x = 3
{ (x-y)/2+ 1/16 = y/3

Ответы

Ответ дал: ytekjdbvsq
0
Пишите, если что не так.
Приложения:
Вас заинтересует