Ответы
Ответ дал:
0
Решение Вашего задания во вложении
Приложения:



Ответ дал:
0
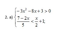
3x^2+8x-3<0
(7-2x)/5-(x+2)/2<0
x=-3 x=1/3 (-3;1/3)
14-4x-5x-10<0
4-9x<0 x>4/9
интервалы не пересекаются система не имеет решения
(7-2x)/5-(x+2)/2<0
x=-3 x=1/3 (-3;1/3)
14-4x-5x-10<0
4-9x<0 x>4/9
интервалы не пересекаются система не имеет решения
Приложения:



Вас заинтересует
2 года назад
2 года назад
8 лет назад
8 лет назад
10 лет назад
10 лет назад
10 лет назад