• Предмет: Химия
  • Автор: LadySmail
  • Вопрос задан 9 лет назад

Помогите пожалуйста.
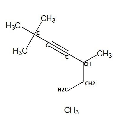
Написать названия и структурные формулы, проверить количество водородов у каждого углерода

Приложения:

Ответы

Ответ дал: Alfiusha13makoneko
0
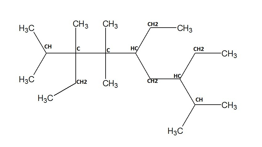
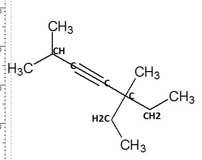
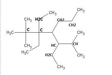
в том порядке, в котором написаны у тебя. 
Приложения:
Ответ дал: Alfiusha13makoneko
0
а, забыла написать. тройную связь нельзя "загибать" :)
Вас заинтересует