Ответы
Ответ дал:
0
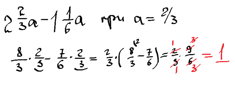
см. вложение
удачи!
=========================
удачи!
=========================
Приложения:

Вас заинтересует
2 года назад
2 года назад
8 лет назад
8 лет назад
10 лет назад
10 лет назад
10 лет назад