• Предмет: Алгебра
  • Автор: dwadas
  • Вопрос задан 9 лет назад

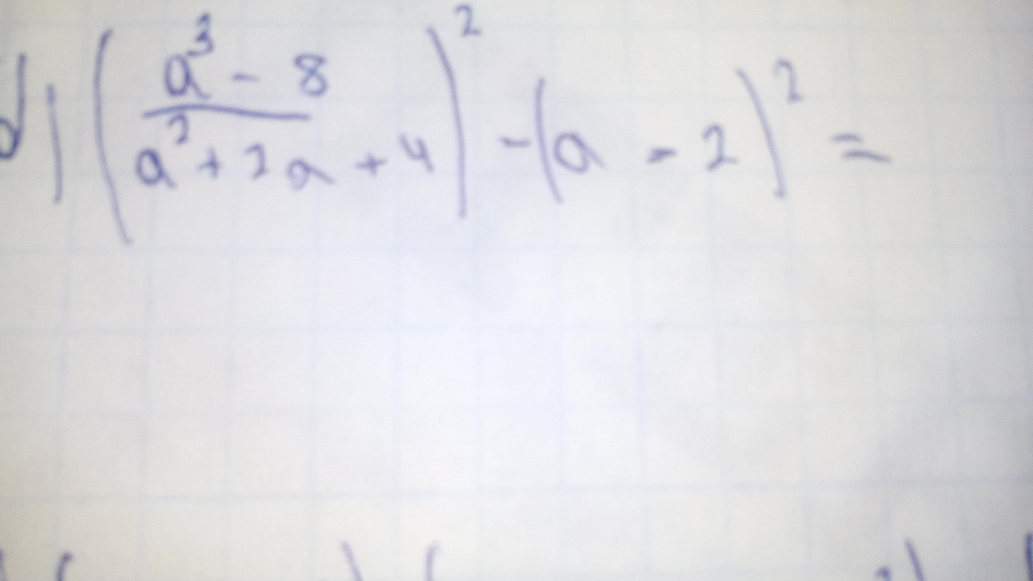
Упрастить выражение :

Приложения:

Ответы

Ответ дал: Banabanana
0
( frac{a^3-8}{a^2+2a+4})^2 - (a-2)^2= ( frac{(a-2)(a^2+2a+4)}{a^2+2a+4})^2 - (a-2)^2= \ \ =(a-2)^2-(a-2)^2=0
Вас заинтересует