• Предмет: Алгебра
  • Автор: Аноним
  • Вопрос задан 11 лет назад

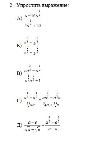
задания на действительные числа (упрощение выражений)

Приложения:

Ответы

Ответ дал: okneret
0
использованы свойства степени, правила действий с алгебраическими дробями, формулы сокращенного умножения
Приложения:
Ответ дал: okneret
0
Еще раз спасибо! И еще раз успехов!
Ответ дал: NNNLLL54
0
Ответ во вложении
Приложения:
Ответ дал: NNNLLL54
0
Ну, надо тому, у кого лучше оформлен, так как и у того и другого ответы верные.
Ответ дал: Аноним
0
да, тоже логично..
Вас заинтересует