• Предмет: Алгебра
  • Автор: zmakovenko
  • Вопрос задан 9 лет назад

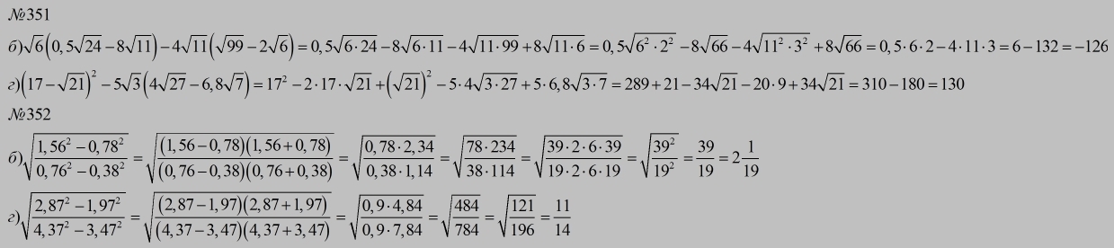
351 352 353 (четные) БУДУ ПРИМНОГО БЛАГОДАРЕН

Приложения:

Ответы

Ответ дал: vanoles
0
Вот вам, юноша решение!
Приложения:
Вас заинтересует