Ответы
Ответ дал:
0
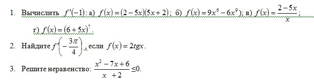
1)
а)f(x) = 4 - 25x²
f'(x) = -50x
f'(-1) = -50*(-1) = 50
б)f(x) = 9x⁶ - 6x⁹
f'(x) = 54x⁵ - 54x⁸
f'(-1) = -54 -54 = -108
в)f(x) = (2-5x)/x
f'(x) = (-5x - 2 +5x)/x² = -2/x²
f'(-1) = -2/4 = -1/2
г)f(x) = (6 + 5x)⁷
f'(x) = 35(6 + 5x)⁶
f'(-1) = 35
2)f(x)
2tgx
f'(x) = 2/Cos²x
f'(-3π/4) = 2: Cos² (-3π/4) = 2: 1/2 = 4
3) (х² -7х +6)/(х +2) ≤ 0
метод интервалов
корни числителя 1 и 6
корни знаменателя -2
-∞ -2 1 6 +∞
+ + - + это знаки (х² -7х +6)
- + + + это знаки х +2
IIIIIIIIIIIII IIIIIIIIIII это решение
х∈(-∞ -2)∪[1; 6]
а)f(x) = 4 - 25x²
f'(x) = -50x
f'(-1) = -50*(-1) = 50
б)f(x) = 9x⁶ - 6x⁹
f'(x) = 54x⁵ - 54x⁸
f'(-1) = -54 -54 = -108
в)f(x) = (2-5x)/x
f'(x) = (-5x - 2 +5x)/x² = -2/x²
f'(-1) = -2/4 = -1/2
г)f(x) = (6 + 5x)⁷
f'(x) = 35(6 + 5x)⁶
f'(-1) = 35
2)f(x)
2tgx
f'(x) = 2/Cos²x
f'(-3π/4) = 2: Cos² (-3π/4) = 2: 1/2 = 4
3) (х² -7х +6)/(х +2) ≤ 0
метод интервалов
корни числителя 1 и 6
корни знаменателя -2
-∞ -2 1 6 +∞
+ + - + это знаки (х² -7х +6)
- + + + это знаки х +2
IIIIIIIIIIIII IIIIIIIIIII это решение
х∈(-∞ -2)∪[1; 6]
Вас заинтересует
7 лет назад
10 лет назад
10 лет назад