• Предмет: Физика
  • Автор: xanna1998
  • Вопрос задан 9 лет назад

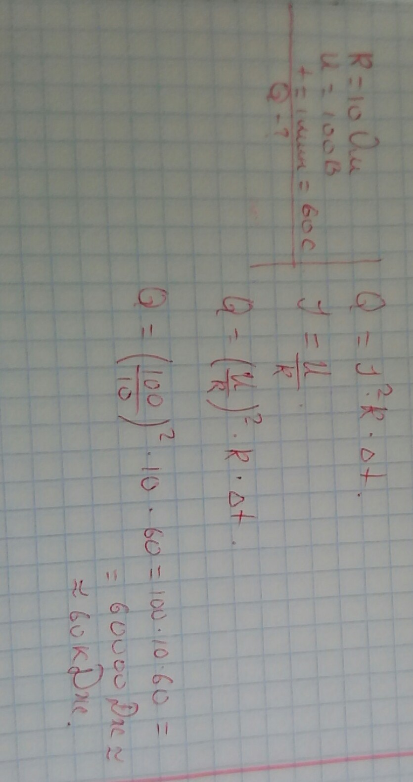
резистор сопротивлением 10 ом включена в сеть напряжением 100 в какое количество теплоты выделиться в резисторе за 1 мин

Ответы

Ответ дал: FaceMikk
0
Ответ на фото.................
Приложения:
Вас заинтересует