Помогите пожалуйста с решением до вечера плизз ( это система уравнений
1)3x-y=3
3x-2y=0
2)2y+y=1
5x+2y=0
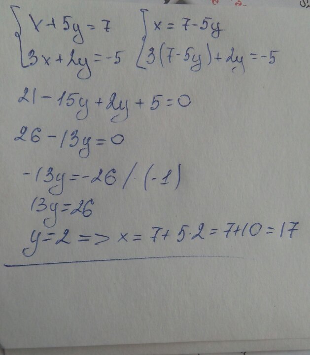
3)x+5y=7
3x+2y=-5
Ответы
Ответ дал:
0
вот решения 3 и 1 примеров, по 2-му так же и остаётся вопрос
Приложения:
Вас заинтересует
2 года назад
2 года назад
7 лет назад
7 лет назад
10 лет назад
10 лет назад
10 лет назад
10 лет назад